Institute for Physics and Astronomy, University of Potsdam
October 17, 2024
Slides available here: https://www.app.physik.uni-potsdam.de/~jbenacek/ASPS/ASPS.html
Option 1, recommended:
Use local computers
https://www.astro.physik.uni-potsdam.de/~htodt/cp/index_en.html
Option 2:
Using own computers
Interactive processing in Jupyter Lab
Programming in Python
Libraries NumPy, SciPy, and Matplotlib



Credit: Space.com

CME eruption on the Sun (SDO)
Comet Hale Bopp 1997
Star formation regions in the Large Magellanic Cloud







ICF = Inertial Confinement Fusion


Kinetic description
Microscopic properties, it uses the velocity distribution function \(f(\vec{x}, \vec{v}, t)\).
Fluid description
Uses a few macroscopic quantities, averages of the distribution function (mean velocity \(v(\vec{x},t)\), pressure/temperature). Valid for exact or near thermodynamic equilibrium.
Hierarchy of plasma physics models
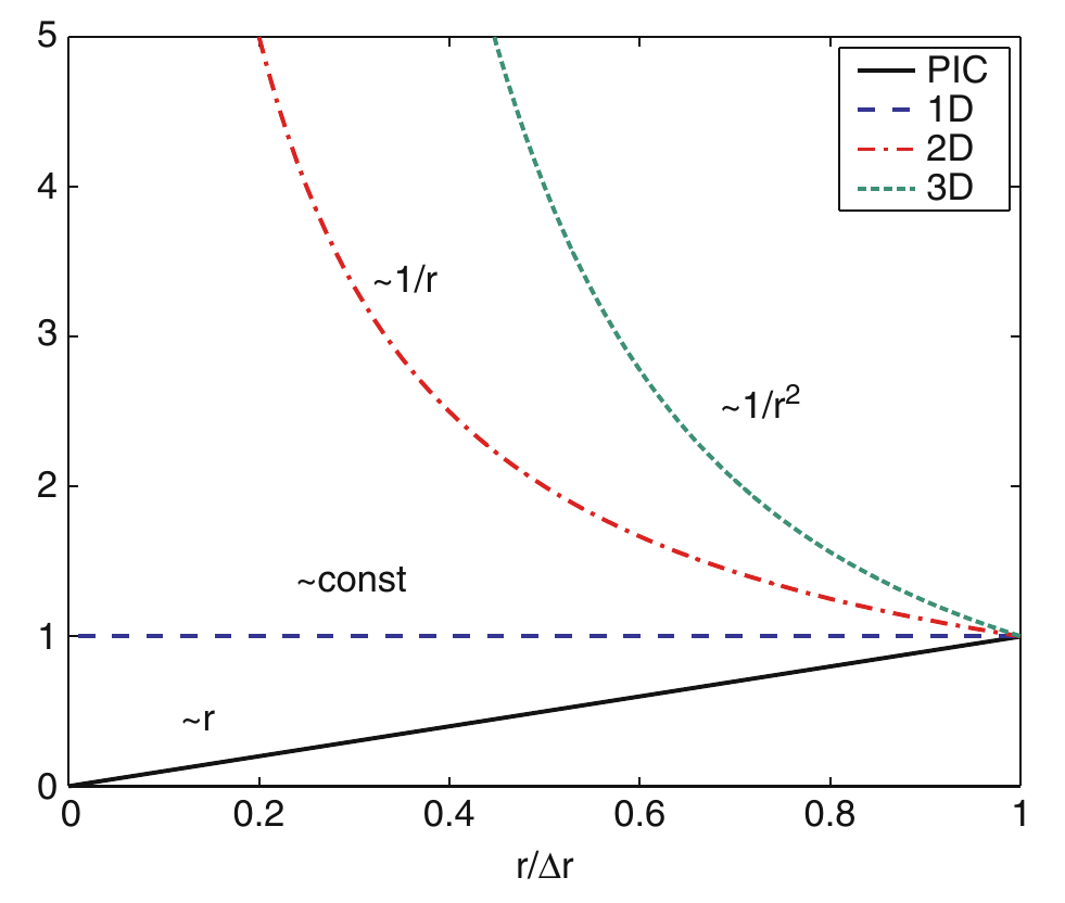
Range of validity of different plasma codes based on typical magnetospheric parameters: \(n=50cm^{-3}\), \(B=50 nT\), \(T_e=T_i=100 eV\) (Winske and Omidi 1996).
Validity range of different plasma codes for a weakly collisional plasma [Credits: space.aalto.fi.]
Simplified single-fluid MHD equations (w/o explicit energy eq.)
\[ \nabla\cdot\vec{B}=0 \\ \nabla\times\vec{E}=-\frac{\partial \vec{B}}{\partial t} \nabla\times\vec{B}=\mu_0\vec{J} \\ \vec{E}+\vec{V}\times\vec{B}= \eta \vec{J}\\ \]
\[ \frac{\partial \rho}{\partial t} + \nabla(\rho\vec{V})=0 \\ \rho\frac{d\vec{V}}{dt} = \vec{J}\times\vec{B}-\nabla P\\ P=K\rho^{5/3} \]
Fully-kinetic equations
\[ \nabla\cdot\vec{E}=\frac{\rho}{\epsilon_0}\\ \nabla\cdot\vec{B}=0\\ \nabla\times\vec{E}=-\frac{\partial \vec{B}}{\partial t}\\ \nabla\times\vec{B}=\mu_0\vec{J}+\mu_0\epsilon_0\frac{\partial \vec{E}}{\partial t}\\ \]
\[ \left[\frac{\partial}{\partial t} + \vec{v}\cdot\frac{\partial}{\partial \vec{x}}+\frac{q_{\alpha}}{m_{\alpha}}\left(\vec{E}+\vec{v}\times\vec{B}\right)\cdot\frac{\partial}{\partial \vec{v}}\right]f_{\alpha}=0\\ \rho=\sum\limits_{\alpha} q_{\alpha}\int\limits dv^3\,f_{\alpha}\\ \vec{J}=\sum\limits_{\alpha} q_{\alpha}\int dv^3\,\vec{v}f_{\alpha} \]
If Jupyter Lab does not exist, run:
pip3 install --upgrade pip
pip3 install --user jupyterlab numpy scipy matplotlib
export PATH=$HOME/.local/bin:$PATHOR